[天一大联考]晋中市2026年2月高三年级调研测试物理答案
发布时间:2026-02-11
198****4421
详细信息
ID:98360569
分类:2026届,高三联考,晋中市高三调研,物理,天一大联考
资源大小:966KB
知识点:天一大联考
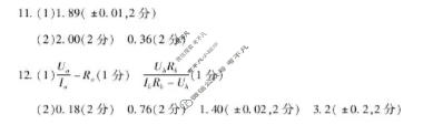
资源详情:[天一大联考]晋中市2026年2月高三年级调研测试物理答案 中内容包括《[天一大联考]晋中市2026年2月高三年级调研测试物理答案》请在考不凡上搜索。物理·答案1~7题每小题4分,共28分,在每小题给出的四个选项中,只有一项是符合题目要求的。8~10小题每小题6分,共18分,在每小题给出的四个选项中,有多个选项是符合题目要求的,全部选对的得6分,选对但不全的得3分,有选错的得0分。1.B2.A3.A4.D5.D6.C7.C8.AC9.AC10.BC11.(1)1.8