广西2025年秋季学期高一"4+N"联盟学校期中考试(6081A)(12月)数学答案
发布时间:2025-12-18
178****9984
详细信息
ID:93195379
分类:广西2025年秋季学期高一"4+N"联盟学校期中考试(6081A)(12月)数学答案
资源大小:802KB
知识点:
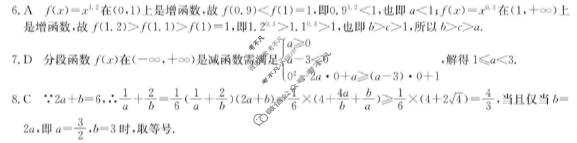
资源详情:广西2025年秋季学期高一"4+N"联盟学校期中考试(6081A)(12月)数学答案 中内容包括《广西2025年秋季学期高一"4+N"联盟学校期中考试(6081A)(12月)数学答案》请在考不凡上搜索。2025年秋季学期“4十N”联盟字校期中考试·高一数字参考答案、提示及评分细则题号12345678答案DCBBDADC二、选择题:本题共3小题,每小题6分,共18分。在每小题给出的四个选项中,有多项符合要求。全部选对的得6分,部分选对的得部分分,有选错的得0分。题号91011答案ABCBCAC