高三2026届云南三校高考备考实用性联考卷(三)3(黑黑白黑白黑白白)数学答案
发布时间:2025-10-10
149****9649
详细信息
ID:90854328
分类:高三2026届云南三校高考备考实用性联考卷(三)3(黑黑白黑白黑白白)数学答案
资源大小:701KB
知识点:
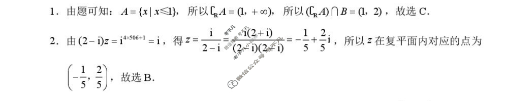
资源详情:高三2026届云南三校高考备考实用性联考卷(三)3(黑黑白黑白黑白白)数学答案 中内容包括《高三2026届云南三校高考备考实用性联考卷(三)3(黑黑白黑白黑白白)数学答案》请在考不凡上搜索。■■口■口■▣2026届云南三校高考备考实用性联考卷(三)数学评分细则一、单项选择题(本大题共8小题,每小题5分,共40分.在每小题给出的四个选项中,只有一项是符合题目要求的)题号123567答案CBABCACC【解析】1.由题可知:A={x|x≤1,所以CA=1,+),所以(CA)∩B=1,2),