https://www.ekaokao.com/
登录
首页 新闻动态 奖励规则 联系我们 关于我们
  1. 考不凡
  2. 试题详情

吉林省2023-2024学年高一金太阳7月联考(◇)物理答案

发布时间:2024-07-11 130****1559
详细信息
ID:79218597 分类:金太阳,2024届,7月联考,吉林高一◇,物理 资源大小:579KB 知识点:金太阳
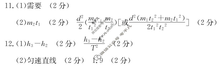
资源详情:吉林省2023-2024学年高一金太阳7月联考(◇)物理答案 中内容包括《吉林省2023-2024学年高一金太阳7月联考(◇)物理答案》请在考不凡上搜索。高一物理试卷参考答案1.D2.B3.A4.C5.A6.B7.D8.BD9.CD10.AD11.(1)需要(2分)②mhe分)(票-尝儿成m2]2分)2t12t2212.(1)h-h2(2分)h3hT22(2分)(2)匀速直线(2分)1.9(2分)13.解:(1)小球由静止释放到碰撞前瞬间,有mgh=m2-0(化分)解
试题 答案
吉林省2023-2024学年高一金太阳7月联考(◇)物理答案 由考不凡收集汇总,获取更多金太阳 答案,请关注考不凡,回复“答案79218597”进行查看。

吉林省2023-2024学年高一金太阳7月联考(◇)物理答案

资源验证结束

1.0金币/1次查看

点赞

分享

0人喜欢

本系列全部资源

相关期数
  • 24-01C

    查看试题

    查看答案

  • 24-02A

    投稿试题

    查看答案

  • 24-02B

    查看试题

    查看答案

  • 24-585A

    查看试题

    投稿答案

  • 24-597B

    查看试题

    查看答案

  • 新疆高一(XJ)

    投稿试题

    查看答案

  • 新疆高二(XJ)

    查看试题

    查看答案

  • 24-585B

    投稿试题

    投稿答案

  • 陕西高一(无标识)

    查看试题

    查看答案

  • 24-614A

    查看试题

    投稿答案

  • 24-591A

    查看试题

    查看答案

  • 24-619B

    投稿试题

    查看答案

  • 24-591B

    查看试题

    查看答案

  • 24-589B

    投稿试题

    查看答案

  • 24-600A

    查看试题

    投稿答案

  • 高一24-XJ709

    查看试题

    查看答案

  • 24-597A

    投稿试题

    投稿答案

  • 高二24-XJ709

    查看试题

    查看答案

  • 24-593A

    查看试题

    投稿答案

  • 吉林高一◇

    查看试题

    查看答案

  • 吉林高二◇

    查看试题

    查看答案

  • JL07B-24

    投稿试题

    投稿答案

  • 内蒙古高一(梯形)

    投稿试题

    投稿答案

  • 内蒙古高二(梯形)

    查看试题

    查看答案

  • 相关资源
  • 吉林省2023-2024学年高一金太阳7月联考(◇)政治试题
  • 吉林省2023-2024学年高一金太阳7月联考(◇)政治答案
  • 吉林省2023-2024学年高一金太阳7月联考(◇)物理试题
  • 吉林省2023-2024学年高一金太阳7月联考(◇)物理答案
  • 吉林省2023-2024学年高一金太阳7月联考(◇)生物试题
  • 吉林省2023-2024学年高一金太阳7月联考(◇)生物答案
  • 吉林省2023-2024学年高一金太阳7月联考(◇)英语试题
  • 吉林省2023-2024学年高一金太阳7月联考(◇)英语答案
  • 吉林省2023-2024学年高一金太阳7月联考(◇)数学试题
  • 吉林省2023-2024学年高一金太阳7月联考(◇)数学答案
  • 吉林省2023-2024学年高一金太阳7月联考(◇)化学试题
  • 吉林省2023-2024学年高一金太阳7月联考(◇)化学答案
  • 吉林省2023-2024学年高一金太阳7月联考(◇)历史试题
  • 吉林省2023-2024学年高一金太阳7月联考(◇)历史答案
  • 吉林省2023-2024学年高一金太阳7月联考(◇)地理试题
  • 吉林省2023-2024学年高一金太阳7月联考(◇)地理答案
  • 吉林省2023-2024学年高一金太阳7月联考(◇)语文试题
  • 吉林省2023-2024学年高一金太阳7月联考(◇)语文答案
  • 热门资源
  • 随机资源
  • 2022年高考真题(全国甲卷)语文试题

  • 河北省邢台市2022-2023学年高二上学期第三次月考语文试题

  • 陕西省汉中市2023届高三年级教学质量第一次检测考试(12月)语文试题

  • 江苏省2022~2023学年度高三年级第一学期期末模拟测试英语试题

  • 2022年高考真题(浙江卷)语文试题

  • 广西南宁市2022年秋季学期九年级期中作业质量监测语文试题

  • 2023全国高考分科综合卷(二)2化学LL(A)试题

  • 2022年高考真题(全国乙卷)语文试题

  • 陕西省2023年宝鸡市高考模拟检测(一)1文科综合试题

  • 安徽省2022-2023学年上学期九年级教学质量抽测三语文试题

标签

  • 高一金太阳
  • 吉林省2023-2024学年
  • 7月联考(◇)
猜你喜欢
  • 河北省2022-2023学年度七年级第一学期素质调研三(12月)生物(人教版)试题
  • 石家庄2022-2023学年高三第一学期第三次调研考试语文试题
  • 河北省张家口市2022-2023学年八年级第一学期六年一贯制12月月考语文答案
  • 安徽省2022~2023学年度第一学期高一年级12月联考(231301D)语文试题
  • 2023年全国高考·模拟调研卷LLY(六)6语文试题
  • 江苏省南京市2022-2023学年第一学期12月六校联合调研考试语文试题
  • NT 2023届陕西省高三年级质量检测语文试题
  • 安徽省2023届高三第一次五校联考(12月)语文试题
  • 山东省2022-2023学年新高考联合质量测评12月联考试题(2022.12)语文试题
  • 2022年高考真题(新高考Ⅰ卷)语文试题

Copyright © 2022-2023 考不凡 https://www.ekaokao.com/

考不凡 版权所有 陕ICP备2022012231号 联系方式:admin@kaobufan.com

陕公网安备61019002003549号

温馨提示

请关注“考不凡”公众号,回复“答案79218597”进行查看
https://www.ekaokao.com/