甘肃省金太阳2025-2026学年七年级第一学期期末监测(26-09-RCCz03a)数学答案
发布时间:2026-01-10
180****6479
详细信息
ID:78301524
分类:2025-2026学年,联考,甘肃初一(1.9),数学,金太阳教育(初中)
资源大小:927KB
知识点:金太阳教育(初中)
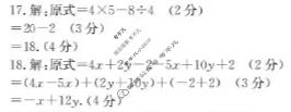
资源详情:甘肃省金太阳2025-2026学年七年级第一学期期末监测(26-09-RCCz03a)数学答案 中内容包括《甘肃省金太阳2025-2026学年七年级第一学期期末监测(26-09-RCCz03a)数学答案》请在考不凡上搜索。数学参考答案一、选择题:本大题共10小题,每小题3分,共30分,每小题只有一个正确选项.题号12345678910答案ACAAABDBBC二、填空题:本大题共6小题,每小题3分,共18分.11.9.58×10312.答案不唯一,如ab=113.以14.215.-c—b16.-2三、解