吕梁市2025-2026学年高三第二次模拟调研测试(吕梁二模)数学答案
发布时间:2026-03-31
159****9207
详细信息
ID:74199657
分类:吕梁市2025-2026学年高三第二次模拟调研测试(吕梁二模)数学答案
资源大小:692KB
知识点:
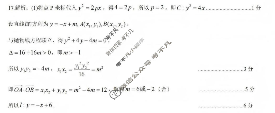
资源详情:吕梁市2025-2026学年高三第二次模拟调研测试(吕梁二模)数学答案 中内容包括《吕梁市2025-2026学年高三第二次模拟调研测试(吕梁二模)数学答案》请在考不凡上搜索。高三数学参考答案一、选择题:本题共8小题,每小题5分,共40分.在每小题给出的四个选项中,只有一项是符合题目要求的.题号12345678答案CDCABCDA1.C.复数z=一!=−i,故选C.i2.D.A={∈N|−1≤≤2}={0,1,2},所以A的子集个数为23=8,故选D.3.C.由a+b=+2+b2