[三重教育]2025-2026学年山西省高二12月阶段性检测数学B答案
发布时间:2025-12-18
131****5993
详细信息
ID:72587199
分类:[三重教育]2025-2026学年山西省高二12月阶段性检测数学B答案
资源大小:984KB
知识点:
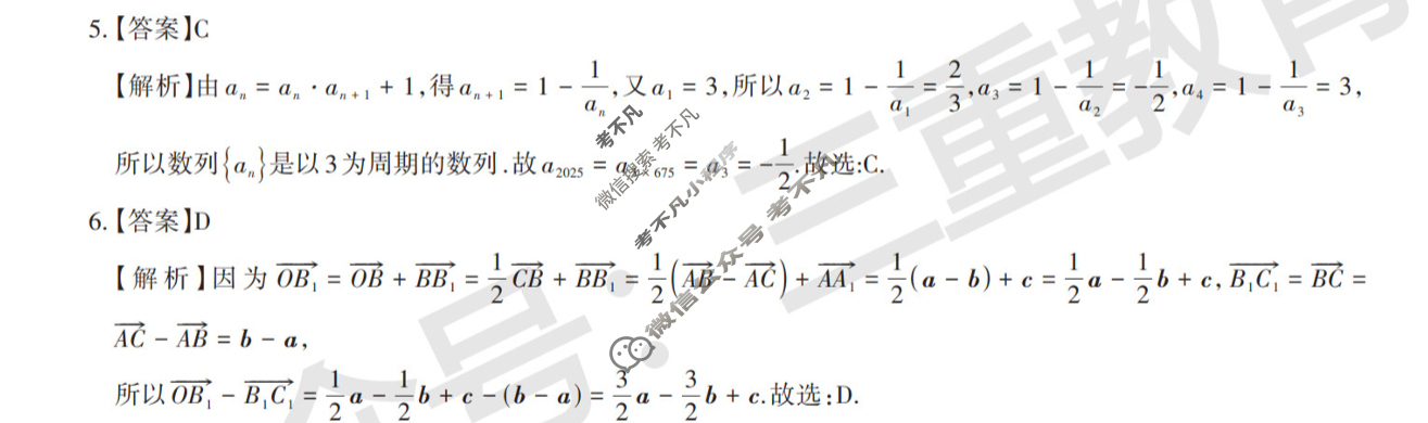
资源详情:[三重教育]2025-2026学年山西省高二12月阶段性检测数学B答案 中内容包括《[三重教育]2025-2026学年山西省高二12月阶段性检测数学B答案》请在考不凡上搜索。山西省2025-2026学年高二12月阶段性检测数学试题参考答案一、选择题1.【答案】C【解析】因为直线x-2y+1=0的斜率$k{1}=-12,直线x+2y-1=0的斜率k2=1则k₁≠k₂,k₁k₂≠-1,所以两条直线不平行,也不垂直,也不重合.故选:C.22.【答案】B【解析】因为平面$α⊥β,所以a