重庆市名校联盟2025-2026学年高一上学期第二次联合考试化学答案
发布时间:2025-12-18
187****2803
详细信息
ID:60610818
分类:重庆市名校联盟2025-2026学年高一上学期第二次联合考试化学答案
资源大小:882KB
知识点:
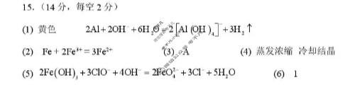
资源详情:重庆市名校联盟2025-2026学年高一上学期第二次联合考试化学答案 中内容包括《重庆市名校联盟2025-2026学年高一上学期第二次联合考试化学答案》请在考不凡上搜索。重庆市名校联盟2025-2026学年度第一期第二次联合考试化学参考答案(高2028届)题号12345678910答案BCADBDCABA题号11121314答案BDAD二、非选择题:本题共4小题,共58分。15、(14分,每空2分)(1)黄色2A1+2OH+6H₂O=2[Al(OH)+3H₂↑(2)Fe+2F