[1号卷]A10联盟&宿州十三校2025级高一上学期11月期中质量检测数学(北师大版)答案
发布时间:2025-11-22
135****0337
详细信息
ID:59511316
分类:2026届,A10联盟,高一上学期11月期中质量检测,数学(北师大版),1号卷
资源大小:688KB
知识点:1号卷
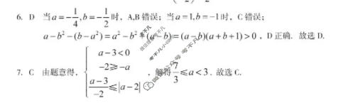
资源详情:[1号卷]A10联盟&宿州十三校2025级高一上学期11月期中质量检测数学(北师大版)答案 中内容包括《[1号卷]A10联盟&宿州十三校2025级高一上学期11月期中质量检测数学(北师大版)答案》请在考不凡上搜索。A10联盟&宿州十三校2025级高一上学期11月期中质量检测数学(北师大版)参考答案一、选择题:本题共8小题,每小题5分,共40分.每小题的四个选项中,只有一项是最符合题目要求的题号234678答素BABDDCA1.C由题意得,A={,B={x0≤x-1是103.A由题总得,-l≤2x+