随州市金太阳2026年1月普通高中高三年级质量检测化学答案
发布时间:2026-01-11
175****0089
详细信息
ID:57389903
分类:2025-2026学年,1月,随州高三(1.11),化学,金太阳
资源大小:965KB
知识点:金太阳
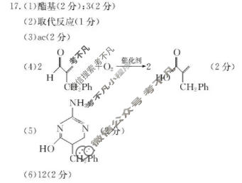
资源详情:随州市金太阳2026年1月普通高中高三年级质量检测化学答案 中内容包括《随州市金太阳2026年1月普通高中高三年级质量检测化学答案》请在考不凡上搜索。2026年1月随州市普通高中高三年级质量检测化学试题参考答案1.B2.D3.C4.A5.C6.D7.C8.D9.B10.C11.C12.D13.C14.A15.D16.(1)[Ar]3d8(或1s2s²2p63s²3p3d,2分)(2)SiO₂和CaSO(2分)(3)2Fe2−+2H++H2O22Fe³++2H2O(2