[皖江名校联盟]2025-2026学年高二11月联考数学B答案
发布时间:2025-11-24
166****7211
详细信息
ID:56342409
分类:[皖江名校联盟]2025-2026学年高二11月联考数学B答案
资源大小:942KB
知识点:
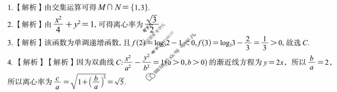
资源详情:[皖江名校联盟]2025-2026学年高二11月联考数学B答案 中内容包括《[皖江名校联盟]2025-2026学年高二11月联考数学B答案》请在考不凡上搜索。数学参考答案B一、选择题:本大题共8小题,每小题5分,共40分,在每小题给出的四个选项中,有且只有一项符合题目要求。题号2345678答案CBCAABCC1.【解析】由交集运算可得M∩N={1,3}2【解析】由等+2=1,可得离心率为)3.【解析】该函数为单调递增函数,且f2)=1og2-10,故选C4【解析】【解