山西省初中2025-2026学年七年级上学期期末阶段质量监测(1月)数学(北师大版)答案
发布时间:2026-01-15
155****6106
详细信息
ID:54967950
分类:2025-2026学年,山西省七年级,上学期期末阶段质量监测,数学(北师大版),金太阳教育(初中)
资源大小:900KB
知识点:金太阳教育(初中)
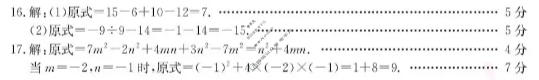
资源详情:山西省初中2025-2026学年七年级上学期期末阶段质量监测(1月)数学(北师大版)答案 中内容包括《山西省初中2025-2026学年七年级上学期期末阶段质量监测(1月)数学(北师大版)答案》请在考不凡上搜索。2025—2026学年七年级上学期期末阶段质量监测数学(北师大版)参考答案1.D2.A3.B4.C5.A6.B7.C8.D9.C10.A11.2、0°—50°=40°.因为OB平分∠COD,所以∠BOC=∠BOD=40°,所以∠DOE=180°-40°-40°=100°.(2)∠DOE=2