https://www.ekaokao.com/
登录
首页 新闻动态 奖励规则 联系我们 关于我们
  1. 考不凡
  2. 试题详情

德州市2025-2026学年高三下学期3月联考物理答案

发布时间:2026-03-06 138****6941
详细信息
ID:51859333 分类:德州市2025-2026学年高三下学期3月联考物理答案 资源大小:921KB 知识点:
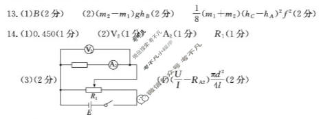
资源详情:德州市2025-2026学年高三下学期3月联考物理答案 中内容包括《德州市2025-2026学年高三下学期3月联考物理答案》请在考不凡上搜索。高三物理试题参考答案2V0V+VB(1分)T2T0V=hS(1分)一、单项选择题(本题共8小题,每小题3分,共24分。在每小题给出的四个选项中,只有一解得温度升高至2T。时活塞距B底面的高度项是符合题目要求的)3V0C2.C3.B4.D5.D6.A7.B8.Ch=S(2分)二、多项选择题(本题共4小题,每小题4分,共16分
试题 答案
德州市2025-2026学年高三下学期3月联考物理答案 由考不凡收集汇总,获取更多试题答案,请关注考不凡,回复“答案51859333”进行查看。

德州市2025-2026学年高三下学期3月联考物理答案

资源验证结束

1.0金币/1次查看

点赞

分享

0人喜欢

  • 相关资源
  • 德州市2025-2026学年高三下学期3月联考政治试题
  • 德州市2025-2026学年高三下学期3月联考政治答案
  • 德州市2025-2026学年高三下学期3月联考物理试题
  • 德州市2025-2026学年高三下学期3月联考物理答案
  • 德州市2025-2026学年高三下学期3月联考生物试题
  • 德州市2025-2026学年高三下学期3月联考生物答案
  • 德州市2025-2026学年高三下学期3月联考英语试题
  • 德州市2025-2026学年高三下学期3月联考英语答案
  • 德州市2025-2026学年高三下学期3月联考数学试题
  • 德州市2025-2026学年高三下学期3月联考数学答案
  • 德州市2025-2026学年高三下学期3月联考化学试题
  • 德州市2025-2026学年高三下学期3月联考化学答案
  • 德州市2025-2026学年高三下学期3月联考历史试题
  • 德州市2025-2026学年高三下学期3月联考历史答案
  • 德州市2025-2026学年高三下学期3月联考地理试题
  • 德州市2025-2026学年高三下学期3月联考地理答案
  • 德州市2025-2026学年高三下学期3月联考语文试题
  • 德州市2025-2026学年高三下学期3月联考语文答案
  • 热门资源
  • 随机资源
  • 2022年高考真题(全国甲卷)语文试题

  • 河北省邢台市2022-2023学年高二上学期第三次月考语文试题

  • 陕西省汉中市2023届高三年级教学质量第一次检测考试(12月)语文试题

  • 江苏省2022~2023学年度高三年级第一学期期末模拟测试英语试题

  • 2022年高考真题(浙江卷)语文试题

  • 广西南宁市2022年秋季学期九年级期中作业质量监测语文试题

  • 2023全国高考分科综合卷(二)2化学LL(A)试题

  • 2022年高考真题(全国乙卷)语文试题

  • 陕西省2023年宝鸡市高考模拟检测(一)1文科综合试题

  • 安徽省2022-2023学年上学期九年级教学质量抽测三语文试题

标签

  • [26·(新高考)CCJ·地理·GS]
  • 地理Q
  • 高一年级考试9月联考
  • 高考冲刺·预测训练
  • 全国冲刺新高考
猜你喜欢
  • 河北省2022-2023学年度七年级第一学期素质调研三(12月)生物(人教版)试题
  • 石家庄2022-2023学年高三第一学期第三次调研考试语文试题
  • 河北省张家口市2022-2023学年八年级第一学期六年一贯制12月月考语文答案
  • 安徽省2022~2023学年度第一学期高一年级12月联考(231301D)语文试题
  • 2023年全国高考·模拟调研卷LLY(六)6语文试题
  • 江苏省南京市2022-2023学年第一学期12月六校联合调研考试语文试题
  • NT 2023届陕西省高三年级质量检测语文试题
  • 安徽省2023届高三第一次五校联考(12月)语文试题
  • 山东省2022-2023学年新高考联合质量测评12月联考试题(2022.12)语文试题
  • 2022年高考真题(新高考Ⅰ卷)语文试题

Copyright © 2022-2023 考不凡 https://www.ekaokao.com/

考不凡 版权所有 陕ICP备2022012231号 联系方式:admin@kaobufan.com

陕公网安备61019002003549号

温馨提示

请关注“考不凡”公众号,回复“答案51859333”进行查看
https://www.ekaokao.com/