https://www.ekaokao.com/
登录
首页 新闻动态 奖励规则 联系我们 关于我们
  1. 考不凡
  2. 试题详情

宁波"十校"2026届高三3月联考物理答案

发布时间:2026-03-19 173****8509
详细信息
ID:33293143 分类:宁波"十校"2026届高三3月联考物理答案 资源大小:744KB 知识点:
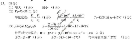
资源详情:宁波"十校"2026届高三3月联考物理答案 中内容包括《宁波"十校"2026届高三3月联考物理答案》请在考不凡上搜索。宁波“十校”2026届高三3月联考物理试题卷本试题卷分选择题和非选择题两部分,满分100分,考试时间90分钟。考生注意:1.答题前,请务必将自己的姓名、准考证号用黑色字迹的签字笔或钢笔分别填写在试题卷和答题纸规定的位置上。2.答题时,请按照答题纸上“注意事项”的要求,在答题纸相应的位置上规范作答,在本试题卷上的作答一律无效,3.非选择
试题 答案
宁波"十校"2026届高三3月联考物理答案 由考不凡收集汇总,获取更多试题答案,请关注考不凡,回复“答案33293143”进行查看。

宁波"十校"2026届高三3月联考物理答案

资源验证结束

1.0金币/1次查看

点赞

分享

0人喜欢

  • 相关资源
  • 宁波"十校"2026届高三3月联考政治试题
  • 宁波"十校"2026届高三3月联考政治答案
  • 宁波"十校"2026届高三3月联考物理试题
  • 宁波"十校"2026届高三3月联考物理答案
  • 宁波"十校"2026届高三3月联考生物试题
  • 宁波"十校"2026届高三3月联考生物答案
  • 宁波"十校"2026届高三3月联考英语试题
  • 宁波"十校"2026届高三3月联考英语答案
  • 宁波"十校"2026届高三3月联考日语试题
  • 宁波"十校"2026届高三3月联考日语答案
  • 宁波"十校"2026届高三3月联考数学试题
  • 宁波"十校"2026届高三3月联考数学答案
  • 宁波"十校"2026届高三3月联考化学试题
  • 宁波"十校"2026届高三3月联考化学答案
  • 宁波"十校"2026届高三3月联考历史试题
  • 宁波"十校"2026届高三3月联考历史答案
  • 宁波"十校"2026届高三3月联考地理试题
  • 宁波"十校"2026届高三3月联考地理答案
  • 宁波"十校"2026届高三3月联考语文试题
  • 宁波"十校"2026届高三3月联考语文答案
  • 热门资源
  • 随机资源
  • 2022年高考真题(全国甲卷)语文试题

  • 河北省邢台市2022-2023学年高二上学期第三次月考语文试题

  • 陕西省汉中市2023届高三年级教学质量第一次检测考试(12月)语文试题

  • 江苏省2022~2023学年度高三年级第一学期期末模拟测试英语试题

  • 2022年高考真题(浙江卷)语文试题

  • 广西南宁市2022年秋季学期九年级期中作业质量监测语文试题

  • 2023全国高考分科综合卷(二)2化学LL(A)试题

  • 2022年高考真题(全国乙卷)语文试题

  • 陕西省2023年宝鸡市高考模拟检测(一)1文科综合试题

  • 安徽省2022-2023学年上学期九年级教学质量抽测三语文试题

标签

  • (26-223C)
  • 11月质量检测
  • 招生考试
  • 韩城市
  • 历史B
猜你喜欢
  • 河北省2022-2023学年度七年级第一学期素质调研三(12月)生物(人教版)试题
  • 石家庄2022-2023学年高三第一学期第三次调研考试语文试题
  • 河北省张家口市2022-2023学年八年级第一学期六年一贯制12月月考语文答案
  • 安徽省2022~2023学年度第一学期高一年级12月联考(231301D)语文试题
  • 2023年全国高考·模拟调研卷LLY(六)6语文试题
  • 江苏省南京市2022-2023学年第一学期12月六校联合调研考试语文试题
  • NT 2023届陕西省高三年级质量检测语文试题
  • 安徽省2023届高三第一次五校联考(12月)语文试题
  • 山东省2022-2023学年新高考联合质量测评12月联考试题(2022.12)语文试题
  • 2022年高考真题(新高考Ⅰ卷)语文试题

Copyright © 2022-2023 考不凡 https://www.ekaokao.com/

考不凡 版权所有 陕ICP备2022012231号 联系方式:admin@kaobufan.com

陕公网安备61019002003549号

温馨提示

请关注“考不凡”公众号,回复“答案33293143”进行查看
https://www.ekaokao.com/