2025年"江南十校"高二年级5月阶段联考数学答案
发布时间:2025-05-27
198****6065
详细信息
ID:27633931
分类:2025年"江南十校"高二年级5月阶段联考数学答案
资源大小:647KB
知识点:
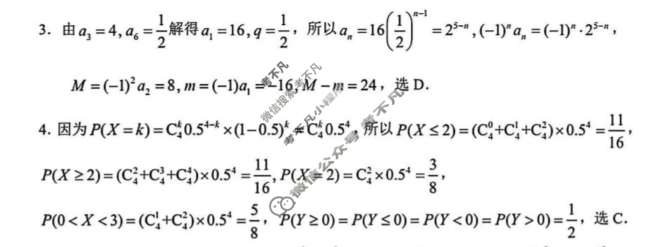
资源详情:2025年"江南十校"高二年级5月阶段联考数学答案 中内容包括《2025年"江南十校"高二年级5月阶段联考数学答案》请在考不凡上搜索。江南十校高二5月联考数学参考答案题号23691011选项ABDDABDABDBCD12.4950:13.206:14.30°答案解析:1.因为直线x=-1的倾斜角为90°,所以直线1的方程为y-0=tan30[x-(-5j],即x-V5y+V5=0,选A.2该常数项为C(子=40,走B.3a4得4=16g所以a,=16=25-