黑龙江2024-2025学年金太阳2022级高三上学年入学考试物理答案
发布时间:2024-09-01
172****8614
详细信息
ID:19516562
分类:金太阳,2025届,入学考试,黑龙江高三(无角标),物理
资源大小:791KB
知识点:金太阳
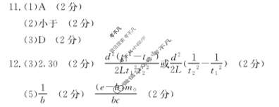
资源详情:黑龙江2024-2025学年金太阳2022级高三上学年入学考试物理答案 中内容包括《黑龙江2024-2025学年金太阳2022级高三上学年入学考试物理答案》请在考不凡上搜索。22级高三上学年开学考试物理参考答案1.B2.C3.A4.A5.D6.C7.C8.AD9.AC10.BC11.(1)A(2分)(2)小于(2分)(3)D(2分)12.(3)2.30(2分)红2号e分剂6分(2分)(e-b)mobc(2分)13.解:(1)对O点进行受力分析,根据共点力平衡有c0s0-"28F