安徽省2023~2024学年度八年级阶段质量检测[R-PGZX D-AHⓞ]数学HKB答案
发布时间:2024-04-28
133****5538
详细信息
ID:17113435
分类:金太阳教育(初中),2024届,八年级阶段质量检测,安徽省 PGZX D-AHⓞ,数学HKB
资源大小:782KB
知识点:金太阳教育(初中)
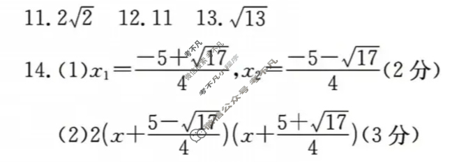
资源详情:安徽省2023~2024学年度八年级阶段质量检测[R-PGZX D-AHⓞ]数学HKB答案 中内容包括《安徽省2023~2024学年度八年级阶段质量检测[R-PGZXD-AHⓞ]数学HKB答案》请在考不凡上搜索。安徽省2023一2024学年度八年级阶段质量检测数学参考答案1.C2.A3.C4.B5.A6.D7.B8.C9.D10.A11.2212.1113.√1314.(1x1=-5+亚,=-5正(2分)4422x+5-+5+平j3分)15.解:原式=5-2√5+1-[(2√3)2-(√5)2]…