安徽省2024-2025学年八年级上学期教学质量调研(9月)(试题卷)数学(北师大版)答案
发布时间:2024-10-20
157****9938
详细信息
ID:14684473
分类:2025,八年级,上学期调研(9月),数学(北师大版),优视教育
资源大小:750KB
知识点:优视教育
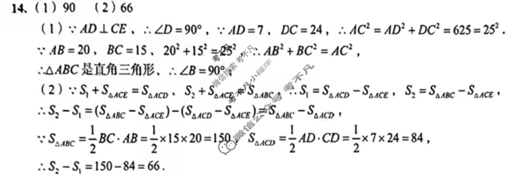
资源详情:安徽省2024-2025学年八年级上学期教学质量调研(9月)(试题卷)数学(北师大版)答案 中内容包括《安徽省2024-2025学年八年级上学期教学质量调研(9月)(试题卷)数学(北师大版)答案》请在考不凡上搜索。八年级数学参考答案及评分标准(北师火版)一、选择题(本大题共10小题、每小题4分,满分40分)题号12345678910答案:BDBDBCC∧二、填空题(本大题共4小题,每小题5分,满分20分)11.412、613.10-114(1)90(2)66(1)AD⊥CE、∠D=90°,AD=7