河南省金太阳2024届高三阶段性考试(24-68C)物理答案
发布时间:2023-10-04
189****8230
详细信息
ID:13741889
分类:金太阳,2024届, 阶段性考试,24-68C,物理
资源大小:981KB
知识点:金太阳
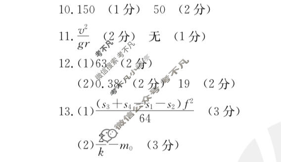
资源详情:河南省金太阳2024届高三阶段性考试(24-68C)物理答案 中内容包括《河南省金太阳2024届高三阶段性考试(24-68C)物理答案》请在考不凡上搜索。中国移动4G下午7:20@55%☐☐高三阶段性考试物理参考答案1.C2.A3.A4.C5.CD6.BD7.AB8.AD9.增大(1分)不变(1分)增大(1分)10.150(1分)50(2分)11.(2分)无1分)gr12.(1)63(2分)(2)0.38(2分)19(2分)13.(1)s十s4--52)64(3分)(