合肥市普通高中六校联盟2025年高三秋季学期期中考试数学答案
发布时间:2025-11-15
134****0875
详细信息
ID:13568797
分类:合肥市普通高中六校联盟2025年高三秋季学期期中考试数学答案
资源大小:992KB
知识点:
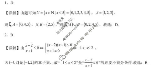
资源详情:合肥市普通高中六校联盟2025年高三秋季学期期中考试数学答案 中内容包括《合肥市普通高中六校联盟2025年高三秋季学期期中考试数学答案》请在考不凡上搜索。2+=a+升41+5+2层9,当且仅当8名即a=b=3baba时,2a+b=9,而90,n>0时,日+名=2+2+片之2+22-4,当且仅当m=2m=1,即a=4h=2时等号成立:a-26-1-mnmn当m0,b>0,.0>a-2>-2,0>b-1>-1,则mn1,所以在0,上不单调,c错误。对D:因为/任+-in2