金太阳2022-2023学年陕西省高一年级选科调考(003A SX-A1)数学试题
发布时间:2022-12-08
189****3229
详细信息
ID:11246520
分类:金太阳,2023届,选科考试,003A·SX,数学A1
资源大小:591KB
知识点:金太阳
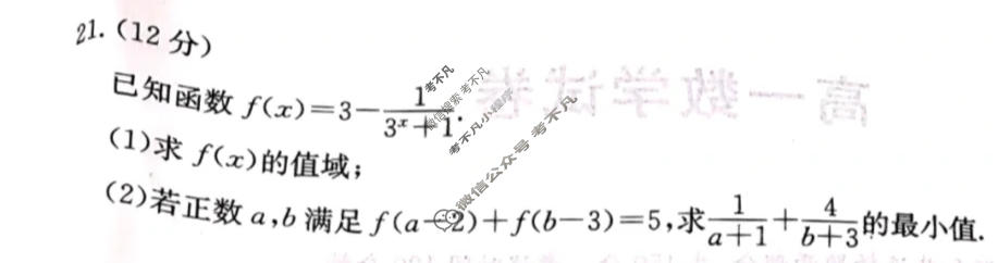
资源详情:金太阳2022-2023学年陕西省高一年级选科调考(003A SX-A1)数学试题 中内容包括《金太阳2022-2023学年陕西省高一年级选科调考(003ASX-A1)数学试题》请在考不凡上搜索。绝密★启用前高一年级选科调考数学注意事项:1.答题前,考生务必将自己的姓名、考生号、考场号、座位号填写在答题卡上2.回答选择题时,选出每小题答案后,用铅笔把答题卡上对应题目的答案标号涂黑。如需改动,用橡皮擦干净后,再选涂其他答案标号。回答非选择题时,将答案写在答题卡上。写在本试卷上无效。3.考试结