https://www.ekaokao.com/
登录
首页 新闻动态 奖励规则 联系我们 关于我们
  1. 考不凡
  2. 试题详情

[河北省]2024届新高二年级开学考(24-25B)物理答案

发布时间:2023-09-06 176****7239
详细信息
ID:10028211 分类:金太阳,2024届,开学考,24-25B,物理 资源大小:647KB 知识点:金太阳
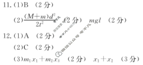
资源详情:[河北省]2024届新高二年级开学考(24-25B)物理答案 中内容包括《[河北省]2024届新高二年级开学考(24-25B)物理答案》请在考不凡上搜索。物理参考答案1.A2.C3.B4.B5.D6.B7.D8.AC9.AC10.AD11.(1)B(2分)(2)M+n)d212(2分)mgl(2分)12.(1)A(2分)(2)C(2分)(3)m1x1十2x3(2分)x1十x2(3分)13.解:(1)小球做平抛运动,水平方向上有x=t(2分)竖直方向上有y-乞8月(2分
试题 答案
[河北省]2024届新高二年级开学考(24-25B)物理答案 由考不凡收集汇总,获取更多金太阳 答案,请关注考不凡,回复“答案10028211”进行查看。

[河北省]2024届新高二年级开学考(24-25B)物理答案

资源验证结束

1.0金币/1次查看

点赞

分享

0人喜欢

本系列全部资源

相关期数
  • 24-08C

    查看试题

    查看答案

  • 24-08B

    查看试题

    查看答案

  • 24-25B

    查看试题

    查看答案

  • 24-355A

    查看试题

    查看答案

  • 24-355B

    查看试题

    查看答案

  • 24-334B

    投稿试题

    查看答案

  • 24-363B

    查看试题

    查看答案

  • 24-343A

    查看试题

    查看答案

  • 24-363A

    查看试题

    查看答案

  • 24-308C

    查看试题

    查看答案

  • 高二♪

    查看试题

    查看答案

  • 相关资源
  • [河北省]2024届新高二年级开学考(24-25B)政治试题
  • [河北省]2024届新高二年级开学考(24-25B)政治答案
  • [河北省]2024届新高二年级开学考(24-25B)物理试题
  • [河北省]2024届新高二年级开学考(24-25B)物理答案
  • [河北省]2024届新高二年级开学考(24-25B)生物试题
  • [河北省]2024届新高二年级开学考(24-25B)生物答案
  • [河北省]2024届新高二年级开学考(24-25B)英语试题
  • [河北省]2024届新高二年级开学考(24-25B)英语答案
  • [河北省]2024届新高二年级开学考(24-25B)数学试题
  • [河北省]2024届新高二年级开学考(24-25B)数学答案
  • [河北省]2024届新高二年级开学考(24-25B)化学试题
  • [河北省]2024届新高二年级开学考(24-25B)化学答案
  • [河北省]2024届新高二年级开学考(24-25B)历史试题
  • [河北省]2024届新高二年级开学考(24-25B)历史答案
  • [河北省]2024届新高二年级开学考(24-25B)地理试题
  • [河北省]2024届新高二年级开学考(24-25B)地理答案
  • [河北省]2024届新高二年级开学考(24-25B)语文试题
  • [河北省]2024届新高二年级开学考(24-25B)语文答案
  • 热门资源
  • 随机资源
  • 2022年高考真题(全国甲卷)语文试题

  • 河北省邢台市2022-2023学年高二上学期第三次月考语文试题

  • 陕西省汉中市2023届高三年级教学质量第一次检测考试(12月)语文试题

  • 江苏省2022~2023学年度高三年级第一学期期末模拟测试英语试题

  • 2022年高考真题(浙江卷)语文试题

  • 广西南宁市2022年秋季学期九年级期中作业质量监测语文试题

  • 2023全国高考分科综合卷(二)2化学LL(A)试题

  • 2022年高考真题(全国乙卷)语文试题

  • 陕西省2023年宝鸡市高考模拟检测(一)1文科综合试题

  • 安徽省2022-2023学年上学期九年级教学质量抽测三语文试题

标签

  • (24-25B)
  • 新高二年级开学考
  • [河北省]
  • 2024届
猜你喜欢
  • 河北省2022-2023学年度七年级第一学期素质调研三(12月)生物(人教版)试题
  • 石家庄2022-2023学年高三第一学期第三次调研考试语文试题
  • 河北省张家口市2022-2023学年八年级第一学期六年一贯制12月月考语文答案
  • 安徽省2022~2023学年度第一学期高一年级12月联考(231301D)语文试题
  • 2023年全国高考·模拟调研卷LLY(六)6语文试题
  • 江苏省南京市2022-2023学年第一学期12月六校联合调研考试语文试题
  • NT 2023届陕西省高三年级质量检测语文试题
  • 安徽省2023届高三第一次五校联考(12月)语文试题
  • 山东省2022-2023学年新高考联合质量测评12月联考试题(2022.12)语文试题
  • 2022年高考真题(新高考Ⅰ卷)语文试题

Copyright © 2022-2023 考不凡 https://www.ekaokao.com/

考不凡 版权所有 陕ICP备2022012231号 联系方式:admin@kaobufan.com

温馨提示

请关注“考不凡”公众号,回复“答案10028211”进行查看
https://www.ekaokao.com/